ElecEng EXPLORER

HOME > TOOLBOX > CHARTS & TABLES > MATHEMATICS


MATHEMATICS


PRV --Tool-- NXT PRV --ChrtTbl-- NXT
Toggle to Show/Hide
Refresh page to Hide All
DERIVATIVES

LIST - Wiki (.org

TOP
EQUATIONS

DIFFERENTIAL
WIKI - (.org
WIKI_SIMPLE - (.org
Wiki_Versity - (.org

LINEAR - Wiki (.org
NON-LINEAR - Wiki (.org
ORDINARY - Wiki (.org
PARTIAL - Wiki (.org

MAXWELL
ENGG & TECH HISTORY - (.org
WIKI - (.org
WIKI_SIMPLE - (.org
WIKI_VERSITY - (.org
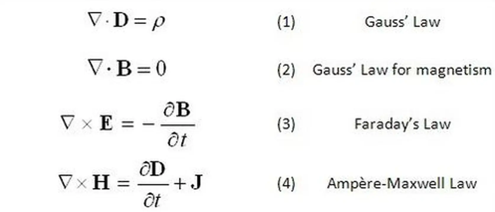
- - FOUR EQUATIONS Maxwell's Four Equations

TOP
GEOMETRY

ELEMENTARY - Wiki (.org
- - UNIT TRIANGLES Unit triangles

TOP

INTEGRALS

LIST - Wiki (.org

TOP
PROBABILITY

DISTIRBUTION - Wiki (.org
LIST - Wiki (.org

TOP
SERIES

FOURIER - Wiki (.org
LIST - Wiki (.org
TAYLOR - Wiki (.org

TOP

STATISTICS

ARTICLES - Wiki (.org
TOPICS - Wiki (.org

TOP
SURFACE AREA

FORMULAE Wiki (.org

TOP
THEOREMS

LIST - Wiki (.org

TOP

TRANSFORMS

DISCRETE FOURIER - Wiki (.org
DISCRETE COSINE FOURIER - Wiki (.org
FAST FOURIER - Wiki (.org
LAPLACE - Wiki (.org
MATHS LIST - Wiki (.org
Y-DELTA - Wiki (.org
Z - Wiki (.org

TOP
TRIGONOMETRY

IDENTITIES - Wiki (.org
UNIT TRIANGLES Unit triangles

TOP
VOLUME

DEFINITIONS - Wiki (.org
FORMULAE - Wiki (.org

TOP

PRV --Tool-- NXT PRV --ChrtTbl-- NXT
TOP